View Images Library Photos and Pictures. Ultimate Guide To Employee Reference Letter With Examples And Templates Attendancebot Blog Https Www Smu Edu Media Site Meadows Webformsattachments Marcommprojectrequest Arthistorypositionannoucementfinal Pdf La En Dean Recommendation Letter Example Letter Samples Templates Sample Reference Letter Format Format For A Reference Letter
. Letter Of Recommendation For Teacher 15 Templates And Examples Recommendation Letter For A Student Template Just Letter Templates Sample Outline Of Lpr Recommendation
Recommendation Letter For A Student Template Just Letter Templates
Recommendation Letter For A Student Template Just Letter Templates
4 Ways To Ask Your Professor For A Letter Of Recommendation Via Email
34 Reference Letters Samples Character Job Writing Letters Formats Examples
30 Free Letters Of Recommendation For Graduate School Templatearchive
Hispanic Border Leadership Institute Employment Opportunities
Free 11 Professor Recommendation Letter Samples In Ms Word Pages Pdf Google Docs
Free Sample Letter Of Recommendation For Teaching Position Pdf 41kb 3 Page S
Ultimate Guide To Employee Reference Letter With Examples And Templates Attendancebot Blog
Recommendation Letter For Medical School From Doctor Free Medical School Letter Of Recommendation Template
Sample Letters Of Recommendation For Teaching Positions Mryn Ism
Academic Recommendation Letter 20 Sample Letters Templates
36 Recommendation Letter Templates In Pdf Free Premium Templates
Reference Letter Template 28 Examples Samples
19 Printable Recommendation Letter For Faculty Position Example Forms And Templates Fillable Samples In Pdf Word To Download Pdffiller
20 Printable Recommendation Letter For Assistant Professor Position Forms And Templates Fillable Samples In Pdf Word To Download Pdffiller
Academic Recommendation Letter 20 Sample Letters Templates
Sample Reference Letter Format Format For A Reference Letter
Academic Cover Letter Example Actionable Writing Tips And Tricks Cover Letter Ninjas
Format For Reference Letter Evaluation Curriculum
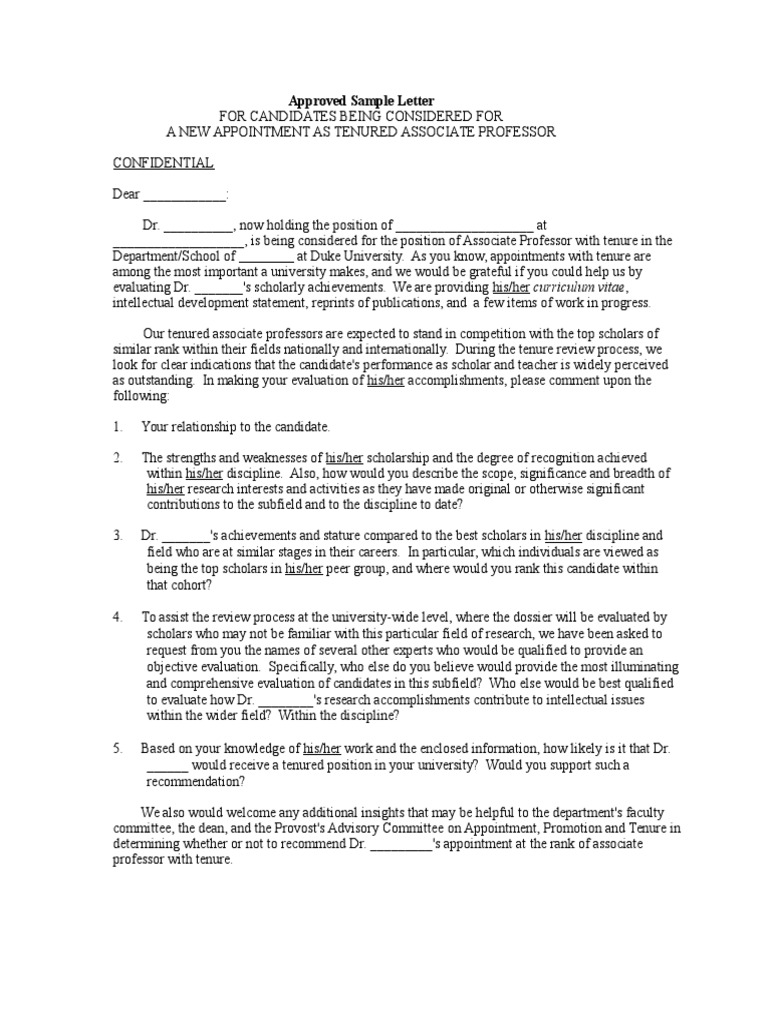
Https Www Uidaho Edu Media Uidaho Responsive Files Provost Policy Processes Sample Packet Assoc To Full Ashx
Recommendation Letter For Internship Template
Student Letter Of Recommendation From Teacher Europe Tripsleep Co
Letter To Professor Requesting Job Recommendation
Free 5 Job Letter Of Recommendation In Pdf
13 Letters Of Recommendation For Teacher Teacher Letter Of Recommendation Letter To Teacher Letter Of Recommendation








0 comments
Posts a comment